Lesson 13: Properties of Determinants
Lesson Objective
Dear learner,
by the end of this lesson, you will be able to:
- Describe the properties of determinants
- Describe the Adjoin of a matrix
- Describe singular and non singular matrices
Key Terms
- Adjoint of a matrix
- Inverse matrix
Brainstorming Activity
Dear learner, give a brief description for the following question. Let $A = \begin{pmatrix} 2 & 3 \\ 4 & 1 \end{pmatrix}$ be a 2 by 2 matrix then determine:
a). $3det(A)$ b). $det(A – I_{2}$
Solution:
a). to determine det(3A), first you multiply each entry by 3, then you obtain $3A = \begin{pmatrix} 6 & 9\\ 12 & 3 \end{pmatrix}$
the next step is determining |3A| = 18 – 108 = -90. you can compare the deteminant of A with determinant of 3A.
$det(A) = -10$ while $det(3A) = -90$ $\implies$ $det(3A ) = 8 det(A)$.
b), Lets observe $A – I_{2}$ $ = \begin{pmatrix} 2 & 3 \\ 4 & 1 \end{pmatrix} – \begin{pmatrix} 1 & 0 \\ 0 & 1 \end{pmatrix}$ = $\begin{pmatrix} 1 & 3 \\ 4 & 0\end{pmatrix}$. then determne |A- I| = -12.
2.1. Properties
i. Let $A =(a_{ij})_{nxn}$ be a diagonal ot triangular matrix, then $det(A)$ is the product of diagonal entries.
Example 1:
ii. Interchanging rows or columns of a square matrix changes only the sign of its determinant.
If $A \underrightarrow{R_{i}\leftrightarrow R_{j}} B$, for $i \ne j$, then |A| = – |B|.
Example 2:
Compare determinants of A = $\begin{pmatrix}1&5&6\\0&2&0\\0&1&2\end{pmatrix}$ and B =$\begin{pmatrix}1&5&6\\0&1&2\\0&2&0\end{pmatrix}$
Solution:
det(A) = $\begin{vmatrix}1&5&6\\0&2&0\\0&1&2\end{vmatrix}$ = $1\begin{vmatrix}2&0\\1&2\end{vmatrix}$ = 2(2) = 4 and det(B) =$1\begin{vmatrix}1&2\\2&0\end{vmatrix}$ = -4.
Therefore det(A) = – det(B)
iii. Adding constant multiple of a row or column of a square matrix A on to an-other row or column of A doesn’t change its determinant.
If $A \underrightarrow{R_{i}\rightarrow kR_{j} +R_{i}} B$, for $i \ne j$ and $k\in \mathbb{R}$, then |A| = |B|.
Example 3:
Compare A =$\begin{pmatrix}1&2&3\\4&5&6\\1&2&2\end{pmatrix}$, k = 3 and B = $\begin{pmatrix}1&2&3\\4&5&6\\1+3&2+6&2+9\end{pmatrix}$
Solution:
det(A) =$\begin{vmatrix}1&2&3\\4&5&6\\1&2&2\end{vmatrix}$ = 3 and det(B)= $\begin{vmatrix}1&2&3\\4&5&6\\1+3&2+6&2+9\end{vmatrix}$ = 3
implies det(A) = det(B)
iv. Multiplying a row or column of a square matrix A by any constant k its determinant equals k times det(A).
if $A \underrightarrow{R_{i}\rightarrow kR_{i}} B$ , then det(A) = kdet(B)
Example 4:
Compare determinants of A =$\begin{pmatrix}1&2\\3&5\end{pmatrix}$ and B = $\begin{pmatrix}1&2\\3\times4 &5\times4\end{pmatrix}$
Solution:
det(A) =$\begin{vmatrix}1&2\\3&5\end{vmatrix}$ = 5 -6 = -1 and det(B) = $\begin{vmatrix}1&2\\3\times4 &5\times4\end{vmatrix}$ = 5(4) – 2(3)(4) = -4. Therefore |B| = 4|A|
v.If A is a square matrix of order n and k is a scalar then $det(kA) = k^{n} det(A)$
Example 5:
1.Let A = $\begin{pmatrix}a&b\\c&d\end{pmatrix}$, if det(A) = 3, then find determinant of B = $\begin{pmatrix}4a&4b\\4c&4d\end{pmatrix}$
Solution:
k =4 and order of A = 2. and |B| = $\begin{vmatrix}4a&4b\\4c&4d\end{vmatrix}$ = 4a(4d) – 4b(4c) = $4^{2}(ad – bc) = 4^{2}det(A) = 16\times3 = 48$
vi. If A is a square matrix of order n with zero row or column, then det(A) = 0
Example 6:
find determinant of A = $\begin{pmatrix}1&2&3\\0&0&0\\4&5&6\end{pmatrix}$
Solution:
Using second row expansion:
det(A) =$0\times \begin{vmatrix}2&3\\5&6\end{vmatrix}$ + $0\times\begin{vmatrix}1&3\\4&6\end{vmatrix}$ + 0\times \begin{vmatrix}1&2\\4&5\end{vmatrix}$=0
vii. If a square matrix A has identical rows or columns then its determinant is zero.
Example 7:
Find determinant of A = $\begin{pmatrix}1&2&3\\4&5&3\\1&2&3\end{pmatrix}$
Solution:
det(A) = $1\begin{vmatrix}5&3\\2&3\end{vmatrix} – 2\begin{vmatrix}4&3\\1&3\end{vmatrix}+3\begin{vmatrix}4&5\\1&2\end{vmatrix}$ = 0
viii. Determinant of a square matrix A and determinant of its transpose is the same. i. e. $|A| = |A^{t}|$
Example 8:
Let A = $\begin{pmatrix}1&0&2\\4&2&0\\0&1&2\end{pmatrix}$, then determinant of A and $A^{t}$?
Solution:
det(A) = $1\begin{vmatrix}2&0\\1&2\end{vmatrix} – 4\begin{vmatrix}0&2\\1&2\end{vmatrix}$= 4+4(2) = 12
$det(A^{t})$ = $\begin{vmatrix}1&4&0\\0&2&1\\2&0&2\end{vmatrix}$ =$2\begin{vmatrix}4&0\\2&1\end{vmatrix} +2\begin{vmatrix}1&2\\0&4\end{vmatrix}$ = 2(4)+2(2) = 12
ix. Determinant of an identity matrix is always 1.

x. Let A and B be two square matrices of the same order , then $det(AB) = det(A)det(B)$
xi. For any square matrix A: $det(A^{m} = (det(A))^{m}$, for $m \in \mathbb{Z^{+}}$
Example 9:
Let A and B are square matrices of order 3 with |A| = 2, then find $det(A^{4}$
Solution:
a). $det(A^{4}) = 2^{4} = 16$
xii.Let A be an invertible square matrix, then $det(A^{-1} = \frac{1}{det(A)}$
Example 10:
Let A and B be two invertible matrices of order 4 and det(A) = 3 and det(B) = 4, then, find:
a). $det(A^{-1}$
b). $det(B^{-1}$
Solution:
a) . $det(A^{-1}) = \frac{1}{det(A)} = \frac{1}{3}$
b). $det(A^{-1} B) = det(A^{-1}) \times det(B) = \frac{det(B)}{det(A)} = \frac{4}{3}$
2.2. Adjoint of a Square matrix
Definition:
Adjoint of a square matrix A = $(a_{ij})$ is defined as the transpose of the matrix $C = (c_{ij})$ where $c_[ij}$ is the cofsctor of entry $a_{ij}$.
Adjoint of A is denoted by $adj(A) = (C_{ij})^{t}$
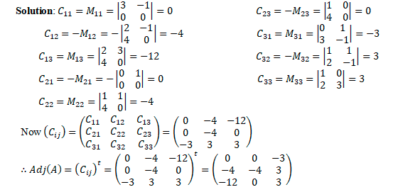
Example 11:
Find Adjoint of A if A = $\begin{pmatrix}1&0&1\\2&3&-1\\4&0&0\end{pmatrix}$

Note:
For any non-singular square matrixA: $|A| = |A\times adj(A)|$ = $|adj(A)\times A|$
A square matrix A is said to be singular if |A| = 0, and non -singular if $|A|\ne 0$
