Lesson 18: Work, Energy and Power
Video Lesson
Lesson objective
Dear learners,
At the end of the lesson you will be able to
- Define work in terms of the applied force and the displacement.
- Calculate the work done by a constant force, by a varying force.
- Demonstrate by examples that maximum work is done when the applied force is parallel to the displacement vector.
- Apply work-energy theorem to solve problems.
- Calculate kinetic energy and potential energy of a body.
- Differentiate between conservative and non-conservative forces.
- Explain the law of the conservation of energy.
- Solve problems by applying the law of conservation of energy.
- Define power and solve problems involving power
Brainstorming question
- What do you mean by the term work in your everyday language? When do you consider that you did some work?
- If your friend carried your 35 N bag and walked horizontally through 10 m, did she do some work for you? How about carrying the same bag upstairs to the second floor
Key Terms and Concepts
- Kinetic energy
- Potential energy
Conservative force- Non-conservative force
- Power
- Constant force
- Variable force
Kinetic energy: Energy due to motion
Potential energy: Energy due to position or shape
Conservative force: A force in which work done is independent of the path followed.
Non-conservative force: A force in which work done is path dependent.
Power : the rate of conversion of energy or the rate of doing work
Constant force: A force that does not vary with time or position
Variable force: A force that varies with time or position
Work
- Work, is the means of transferring energy from one body to another or a means of transforming energy from one form to another.
- For instance, if you raise a load from the floor to the top of a shelf, energy is transferred from your muscles to the load and in the process chemical energy is converted into potential energy of the load.
- Energy is the capacity to do work, has important features it exists in different forms and
- it is converted from one form to another with the total amount being constant.
- It cannot be created or destroyed.
- In an automobile engine, chemical energy stored in the fuel is converted partially to the energy of the automobile’s motion and partially to thermal energy.
- In a microwave oven electromagnetic energy obtained from the mains is converted to thermal energy of the food being cooked In these and all other processes the total energy—the sum of all energy present in all different forms—remains the same.
- Work can be either positive, negative, or zero.
- It is said to be positive work when both displacement and force are in the same direction.
- It is said to be negative work when both displacement and force are in the opposite direction.
- If there is no displacement, there is no work done.
- No exception has ever been found.

Work done by a constant force
Work has a different meaning in physics than it does in everyday usage.
- In physics doing work involves applying a force to an object while moving it a given distance.
- In other words, work is done when a force acts on something that undergoes a displacement from one position to another.
- The definition for work W might be taken as W = F S,
- where F is the magnitude of the force acting on the object and S is the magnitude of the object’s displacement.
- That definition, however, gives only the magnitude of work done on an object when the force is constant and parallel to the displacement, which must be along a line,
- Figure 4.35. For a more general case work is defined as the scalar product of the force and the displacement produced.
- $W=\overrightarrow{F\bullet } \overrightarrow{S}$
- $W=FScos\Theta$ where is the angle between F and S
- For a force acting at an angle, Figure 4.36, the work done is
- W = F S cos θ, which can also be written as
- where Fcos θ is the component of the force along the direction of the displacement.
- See that the component of the force along the direction perpendicular to the displacement (F sinθ) does no work (for θ = 900 , cos 900 = 0).
- The SI unit of work is joule, abbreviated as J.
- 1 joule = 1newton.meter
- Other unit of work in the (centimeter-gram-second) cgs unit is erg where 1 erg = 1dyne. cm.
- 1joule = 107 erg

Figure 4.8 A constant force moves the mass through displacement
Example 5.1:
A boy applies a force of 10 Newton to displace an object by 2 meters. Find the work done using the work formula.
Given
- Force (F) = 10N
- Displacement (d) = 2 m
Solution:
Using the Work Formula,
W = F. d
W = 10 x 2 = 20 J
Thus, the work done is 20 J.
Example 5.2:
Calculate the work done if the force applied is 2 N, displacement is 3 m and the angle between force and displacement is 45 degrees.
Given
- Force (F) = 2 N,
- Displacement (d) = 3 m
- θ = 45o
Solution:
Using the Work Formula,
W = F d cos θ
W = 2N × 3m x cos 45o
W = 3.51 Joules
Thus, the work done is 3.51 Joules.
Work Done by the Gravitational Force
- We next examine the work done on an object by the gravitational force acting on it. Figure 4.38 shows an object of mass m that is thrown upward with initial speed
- v and thus with initial kinetic energy K0 = ½ mv02
- As the object rises, it is slowed down by a gravitational force Fg ; that is, the object’s initial kinetic energy decreases because Fg does work on the object as it rises.
- The work done by the gravitational force is
- W g = F g d cosθ
- The force magnitude is mg and we write
- W = mg d cosθ (work done by gravitational force)
- With θ = 1800 , work done by gravitational force is
- Wg = mgd
- The minus sign tells us that during the object’s rise, the gravitational force acting on the object transfers energy equal to mgd from the initial kinetic energy that it had at the beginning of its motion.
- After the object has reached its maximum height and is falling back down, the angle θ between force and displacement is zero. Thus, the work done by the gravitational force will be W = mgd cosθ = + mgd
- The plus sign tells us that the gravitational force now transfers energy in the amount mgd to the kinetic energy of the object

Figure 4.9 Work done by gravitational force: (a) A mass raised through vertical distance d (b) a mass lowered through vertical distance d
Example 5.3:
Consider a block of mass m is pushed up a rough inclined plane of angle θ by a constant Force F parallel to the incline, as shown in Figure 4.39. The displacement of the block up the incline is d.
a. by the applied force
b. by the force of gravity
c. by the normal force
d. by the kinetic friction

Figure 4.10 A block is pushed up a rough inclined plane with a constant force F parallel to the incline. The normal is perpendicular to the surface. A mark is on mg to show that the weight is decomposed to its parallel and perpendicular components.
Solution:
(a)The work done by the applied force $W_F$
$W_F = F S \cos 0^0 = Fd (since F is in the same direction as d)
(b) The work done by gravity $W_g$ is: $W_g = (mg \sin\theta) (S) \cos 180^0 = – mgd \cos\theta, (mg \sin\theta) $ is the component of the weight parallel to the displacement and 180° is the angle between mg $\sin\theta$ and the displacement)
(C) The work done by the normal force is: $W_N = F_N S \cos90^0 = 0$ (The normal force is perpendicular to the displacement)
(d) The work done by the kinetic friction is: $W_f = F_k S \cos 80^0 = \mu k(mg\cos\theta) (d) (-1) = – \mu mgd\cos\theta$
Work done by a variable force
- In general, a force that acts on a body may vary in magnitude and direction as it displaces the body between two points in space.
- Let us consider a varying force F acting on a body to displace the body along the x axis.
- In this case using the expression W = F.S will not be appropriate.
- Instead we calculate the infinitesimal work done by the variable force and add those values to get the total work done.
- Figure 4.40a, shows an example of the F vs S curve of the case of a variable force acting to produce displacement S.

Figure 4.11 Work done by a varying forces = Area under F vs S graph
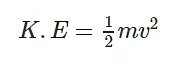
Kinetic Energy
- Kinetic energy is the energy a body possesses due to its motion.
- A body of mass m moving with velocity v is said to have kinetic energy of KE = ½ mv2.
- The kinetic energy formula is a property of a moving object defined by both its mass and velocity.
- It can be any time of motion, such as rotation around an axis, vibration, translational motion, etc.
- Kinetic energy is a scalar quantity that is described by only magnitude.
- It is equal to the work which is needed to accelerate an object.
- The energy is calculated when the object is at rest till the object is in motion.
- It depends upon the object’s mass and speed.
- The energy is a scalar quantity that is defined by its magnitude.
Example 5.3:
What will be the kinetic energy of an object with a mass of 200 kg moving at a speed of 15 m/s?
Given
- Mass of the Body, m = 200 kg
- Velocity of the Body, v = 15 m/s
Solution:
Using the Kinetic Energy Formula,
$K.E=\frac{1}{2}mv^{2}$
KE = ½ (200kg)(15m/s)2
KE = 45000 J or 45 KJ
Thus, the kinetic energy possessed by the body is 45000 J.
Example 5.4:
Find out the mass of an object moving at a speed of 40 m/s with a kinetic energy of 1500 J.
Given
- Velocity of the Body, v = 40 m/s
- Kinetic Energy of the Object, KE = 1500 J
- Mass of the Object, m =?
Solution:
Using the Kinetic Energy Formula,
$K.E=\frac{1}{2}mv^{2}$
Rearranging the formula, we get
m = 2KE/v2
m = (1 x 1500)/(40)2 =1.87 Kg
Thus, the mass of the given object is 1.87 Kg
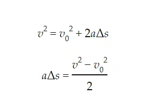
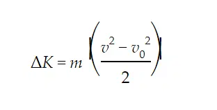
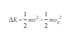
The work -energy Theorem
The total work done on a body by external forces is related to the body’s displacement— that is, to changes in its position. But the total work is also related to changes in the speed of the body.
The work done by the applied force
- One of the greatest methods to fully comprehend the formula is to derive kinetic energy using simple mathematics.
- Starting with the work-energy theorem and adding Newton’s second law of motion, we get

- By rearranging the kinematics equation, we can arrive at

- Combining the two expressions we get

- Finally we get

- We already know that kinetic energy refers to the energy that an object possesses as a result of its movement.
- As a result, at rest, the kinetic energy should be zero. As a result, we can define kinetic energy as:

- This principle is called the work-energy theorem. Mathematically,

- That is, the work done by the net force in displacing a particle equals the change in its kinetic energy
Potential energy
- The energy of a body due to its relative position or shape is known as potential energy
- The energy due to the relative position of a body is called Gravitational potential energy while
- The potential energy due to change in shape of the body is called Elastic potential energy.
- Gravitational potential energy of a body of mass m placed at a height above a reference level is given by PE = mgh.
- Elastic potential energy of a body such as a spring that is stretched through x is given by PE = ½ kx2
- The sum of the kinetic energy and potential energy of a body is termed as the total mechanical energy of the body.
- ME = KE + PE
- Suppose you throw a ball vertically upward. We already discussed that as the ball rises, the work W done on the ball by the gravitational force is negative because the force transfers energy from the kinetic energy of the ball.
- We say that this energy is transferred by the gravitational force to the gravitational potential energy of the ball–Earth system On its way up,
- the ball slows (decelerates) and finally stops, and then begins to fall back down because of the gravitational force.
- During the fall, the transfer is reversed:
- The work Wg done on the body by the gravitational force is now positive that force transfers energy from the gravitational potential energy of the ball–Earth system to the kinetic energy of the ball.
- For either rise or fall, the change U in gravitational potential energy is defined as being equal to the negative of the work done on the ball by the gravitational for ce.
- U = -W
- The above conclusion can also apply to a block-spring system shown in Figure 4.43. Initially the block moving to the right hits the spring.
- The spring force acts toward left causing deceleration of the block doing negative work on the block and transferring energy from the kinetic energy of the block to the elastic potential energy of the spring–block system.
- The block then begins to move leftward because the spring force is still leftward.
- The transfer of energy is then reversed it is from potential energy of the spring–block system to kinetic energy of the block.

Figure 4.12 (a) As the block moves to the right the spring force does negative work on it
(b) As the block moves backward, the spring force does positive work on it.
Conservative and non-conservative Forces
- There are generally two kinds of forces namely, Conservative forces and non- conservative forces.
- Conservative forces have these two equivalent properties:
- The work done by a conservative force on a particle moving between any two points is independent of the path taken by the particle.
- The work done by a conservative force on a particle moving through any closed path is zero. (A closed path is one in which the beginning and end points are identical).
Gravitational force is an example of a conservative force, and the force that a spring exerts on any object attached to the spring is also conservative.
A force is non-conservative if it does not satisfy properties 1 and 2 for conservative forces. Non-conservative forces acting within a system cause a change in the mechanical energy ME of the system. - The work done on a system by a non-
- conservative force is equal to the change in mechanical energy of the system. Typical example of non-conservative force (also known as dissipative force) is frictional force. W is work done by dissipative forces.
- Wd = ∆ME,
- fk d = ∆KE + ∆PE
- Where fk is frictional force, d is the distance through which frictional force acted.
- fk d = (KEf – KEi ) + (PEf – PEi )
- Where KE = ½ mv2 , gravitational PE = mgh, and Elastic PE = ½ kx2
Power
- Power is defined as the time rate of doing work.
- The SI unit of power is Watt (W) which is joules per second (J/s).
- It is a scalar quantity.
- It is the amount of work or energy that is transferred per unit of time.
- Power is directly proportional to energy and work done. The more work done or energy consumed, the more will be power.
- Power is directly proportional to work and is inversely proportional to time.
- Power is also used to calculate the efficiency of the device
- P=W/T
- In the previous section we have seen that the quantity of work has to do with a force causing a displacement.
- Work has nothing to do with the amount of time that this force acts to cause the displacement. Sometimes, the work is done very quickly and other times the work is done rather slowly. If you dig a well using a mattock, it may take several hours. The same amount of work can be done in very few minutes if it is dug by an excavator machine (Figure 4.44). The excavator can complete the work in a shorter time than the same work done by the mattock digger
- The average power is defined as the total amount of work done or energy used per total time.
- It is the ratio of total work done and total time taken.
- Pav = ΔW/ ΔT
- Metric prefix multipliers of units of power are usually used Such as kilo watt (kW) in rating our home electric stove , mega watt (MW) and giga watt (GW) in rating power generating plants such as the Great Ethiopian Rainnasence Dam (GERD).
- All machines are typically described by their power rating.
- The power rating indicates the rate at which that machine can do work upon other objects.
- Thus, the power of a machine is the work to time ratio for that particular machine.
- Another non SI unit of power is the horsepower.
- 1 horsepower = 746 watts


Examples 5.4:
A man weighing 60 kilograms climbs up a staircase with a bag of 20KG on his head. The staircase has 20 steps each of 0.2 meters in height. What will be the power utilized if he climbs the staircase in 10 seconds?
Solution:
Height of staircase = 20×0.2 = 40m
P= W/T = E/T = mgh/T
M = 60+20 = 80 kilograms
= 80×9.8×4 /10
= 78.4 × 4
Power = 31.36 Watt.
Example 5.5:
A 1000 kg elevator car carries a maximum load of 800 kg, Figure 4.45a. As the elevator moves upward a constant frictional fore of 4000 N retards its motion. What minimum power must the motor deliver to lift the loaded elevator car at a constant speed of 2.5 m/s?
Solution:

Figure 4.13 Work done on an elevator and its load

