Lesson 20: Impulse and Linear momentum
Video Lesson
Lesson objective
Dear learners,
At the end of the lesson you will be able to
- Discuss impulse and linear momentum
- Relate impulses to collisions
- Apply the impulse-momentum theorem to solve problems
- Differentiate elastic and inelastic collisions
- State the law of conservation of linear momentum
- Explain the meaning and usefulness of the concept of center of mass
- Calculate the center of mass of a given system
- Calculate the velocity of the center of mass
- Apply the law of conservation of linear momentum to solve problems involving collision in one dimension.
Brainstorming Question
Suppose you are riding a bicycle at a speed of 15 m/s. How different is the effort you are required to exert when you want to stop in 5 second or when you want to stop in 9 seconds? Give your answer in terms of the force you apply on the brakes and the time taken to stop.
Key Terms and Concepts
- Momentum
- Impulse
- Elastic collision
- Inelastic collision
- Center of mass
Momentum: describe the effort require to get a body moving or to stop it.
Impulse: is change of momentum
Elastic collision: a collision in which both kinetic energy E and momentum are conserved
Inelastic collision: a collision in which momentum is conserved but kinetic energy is not
Center of mass: a point where the total mass of a body or system of objects is as summed to be concentrated
Linear momentum($\Delta\overrightarrow{P}$
- Linear momentum is the property of a moving object that describes how hard it is to set a body in motion or to stop it.
- It is hard to stop a fast moving object than a slow moving object.
- Similarly, it is hard to stop a larger mass than a smaller mass provided that they move with the same speed.
- The Linear momentum of a body is defined as the product of its mass and its velocity.
- Mathematically, Momentum = mass x Velocity
- Linear momentum denoted by P and
- P=mv
- Momentum is a vector quantity directed along the direction of the velocity and its SI unit is kgm/s.
- The direction of the velocity vector is the same as the direction of the momentum vector.
- Changing the momentum of a body require application of a force.
- According to Newton’s second law, velocity of a moving object changes when a non-zero net force acts on it.
- Starting from the common version of Newton’s second law we define an equivalent expression as follows.
- $F=ma=m\frac{\Delta \overrightarrow{v}}{\Delta t}=m\frac{\left( v_{f-V_{i}} \right)}{\Delta t}$
- $\frac{mV_{f}-mV_{i}}{\Delta t}=\frac{P_{f}-P_{i}}{\Delta t}=\frac{\Delta \overrightarrow{p}}{\Delta t}$
- $\overrightarrow{F}=\frac{\Delta \overrightarrow{p}}{\Delta t}$ (Newton’s second law in terms of momentum)
- The net force (vector sum of all forces) acting on a particle equals the time rate of change of momentum of the particle.
- Rearranging the above equation we have
- $\overrightarrow{P}= \overrightarrow{F}\Delta t$
Impulse (J)
- impulse is the product of force and the time interval during which the force is applied.
- It is a measure of the change in momentum of an object that occurs when a force is applied to it for a certain amount of time
- The product of the net force and the time interval, ∆t, is known as Impulse of the net force, denoted by J.
- Impulse = Force × (final time – initial time)
→ Impulse = Force × Δt
→ I = F × Δt - The change in momentum of a particle during a time interval equals the impulse of the net force that acts on the particle during that interval.
- This statement defines the Impulse-Momentum theory.
- It is the change in momentum of a body when it is subjected to a force for a short period of time.
- It is denoted by the letter ‘J’ and is a vector quantity.
- The inverse of a force is an impulse.
- It signifies that the magnitude of the impulse formula is determined by the force and time change.
- Impulse is measured in newton seconds (Ns) or kg m/s.
- The concept of impulse is useful for understanding the effect of a force acting on an object over a period of time.
For example,
In a car crash, the impulse of the collision determines the severity of the impact on the occupants of the car.
- The impulse-momentum formula is derived from the impulse-momentum theorem, which asserts that an object’s change in momentum equals the impulse supplied to it. Impulse can be calculated by using the following impulse-momentum equation:
- J = m x Δv
- In the following equations, J = F x Δt and J = m x Δv, the unit and the dimensional formula for impulse remain the same.

Example 7.1:
A 5-gram ball falls to the ground after a free fall from a height. Gravitational acceleration, g = 10 m/s2The ball’s velocity before the collision is 6 ms-1, and the ball is reflected upright at 4 m/s after the collision. Calculate the impulse
Solution:
Mass of the ball (m) = 5 gm = 0.005 kg
Before the collision, the velocity of ball (vo) = -6 m/s
After the collision, the velocity of ball (vt) = 4 m/s
The direction before the collision is opposite the direction after the contact, as indicated by the plus and minus signs.
Since we need to find out Impulse (J), so the solution will be
Impulse (J) = Total change in momentum (Δp)
J = Δp = m * vt – m * vo
= m * (vt – vo)
J = (0.005)(4 – (-6)) = (0.005)(4 + 6) = (0.005)(10) = 0.05 N.s (Ans.)
Example 7.2:
When an object collides with a solid wall, it comes to a halt. Now. If the object’s weight is 2.0 kg and it moves at a speed of 10 m/s before colliding with the wall. Calculate the object’s impulse
Solution
As Δp = p final – p initial
Δp = m* v final – m * v initial
Δp = 2.0 * (0) – 2.0 * 10
Δp = 0 kg m/s – 20 kg m/s
Δp = -20 kg m/s
Example 7.3:
For a 5-kg mass traveling horizontally, a graph of net force vs time is given. What is the mass’s final velocity after 20 seconds if it starts at rest?

After 20 seconds, we must determine the mass’s final velocity.
To get that velocity, however, we must first determine the mass’s impulse. Because impulse equals force multiplied by time, this impulse equals the area under the graph in this situation (which is in the shape of a triangle during the 20-s interval).
So here, Impulse will be = (1/2) * (20) * (50) = 500 N.s
Now the final velocity can be now calculated as,
Impulse = change in momentum
So, 500 N.s = (5 kg) * (vf − 0 m/s)
vf = 100m/s (Ans.)
Example 7.4:

Example 7.5:
A 2 kg ball that was moving along a smooth horizontal floor at 2.5 m/s toward East hits a hard surface and rebounds with a speed of 2.3 m/s along the same line. If the time of interaction between the ball and the wall is 0.20 s,
(a) What is the change in momentum of the ball?
(b) What is the impulse imparted to the ball?
(b) What is the net force exerted on the ball by the surface?

Law of Conservation of Linear Momentum
- The Second and Third Laws of Motion lead to one of the most important and fundamental principles of physics called the Law of Conservation of Linear Momentum. It can be stated as follows:
- “When no external force acts on a system of several interacting particles, the total Linear Momentum of the system is conserved.”
The law of conservation of linear momentum is applicable only under the following conditions:
- The body should be in Motion.
- The direction of motion should be constant.
- The linear momentum of the system is conserved and not of the individual particles.
- The momentum of individual particles may change with time, but the sum of the momentum of all the particles remains constant.
- The Law of conservation of linear momentum is equally applicable to all kinds of collisions occurring in nature.
- The law of conservation of Linear Momentum is a concrete and fundamental law that is not affected by Temperature changes, pressure conditions, etc.
Law of Conservation of Linear Momentum is universal and applies to bodies moving in a straight line.
- In the case of colliding bodies, this law applies to both Elastic Collision and Inelastic Collision.
- In every phenomenon or change, the initial momentum of a system and the final momentum remain the same if no external Force is applied to the system
- Law of Conservation of Linear Momentum: Initial Momentum (Pi) = Final Momentum (Pf)
- The Derivation of the Law of Conservation of Linear Momentum can be described mathematically as follows:
- Consider two bodies A and B of masses m1 and m2 moving in the same direction along a straight line with velocities u1 and u2 respectively (u1 >u2). They collide for a time interval ∆ of t. After collision let their velocities be v1 and v2.
- During a collision, body A exerts a force FBA On body B. From Newton’s Third Law of Motion, the body B also exerts a force FAB on the body A in the opposite direction,
- so that:
- FAB = ̶ FBA
- Impulse of FAB = FAB ∆t = change in momentum of A
- = m1v1 ̶ m1u1
- Impulse of FBA = FBA ∆t = change in momentum of B
- = m2v 2 ̶ m2u2
- But FAB ∆t = ̶ FBA ∆t
- = m1v1 ̶ m1u1 = ̶ ( m2v2 ̶ m2u2)
- = m1v1 + m2v2 = m1u 1+ m 2u2
- Total Momenta before Collision = Total Momentum after Collision
One-dimensional motion refers to the motion of an object along a straight line.
- In this type of motion, the object’s position is described by a single coordinate, usually measured from a fixed reference point.
- The motion can be either uniform, where the object moves with a constant velocity, or non-uniform, where the velocity changes with time.
One-Dimensional Collision is a collision in which two objects collide and move along a straight line before and after the collision.
- In this type of collision, the motion of the objects can be analyzed in one dimension, along the line of collision.
- In a one-dimensional collision, the total momentum of the system is conserved, which means that the sum of the momenta of the two objects before the collision is equal to the sum of their momenta after the collision.
- However, the kinetic energy of the system may not be conserved, as some of it may be converted into other forms of energy, such as heat or sound.
For two bodies, A and B, one-dimensional collisions can happen in any of the following ways:
- Body A is moving in a straight line and body B is stationary. After the collision, both bodies start moving in the same direction.
- Both bodies are moving in a straight line but in opposite directions. After the collision, they start moving in the same direction.
- Both bodies are moving in a straight line and in the same direction. After the collision, they start moving in the same direction.
In all three cases mentioned, the total momentum of both bodies before collision (initial momentum) is always equal to the total momentum after collision in the absence of any external force.
This can be expressed mathematically as:-
Initial Momentum= Final Momentum
Pi = Pf
For Body A and Body B, the law of conservation of linear momentum can be written as follows:-
- Total Momentum before Collision= MAUA + MBUB
- Total Momentum after Collision= MAVA + MBVB
Therefore, In
MAUA + MBUB = MAVA + MBVB
where
- MA = Mass of body A
- UA = Initial velocity of body B
- MB = Mass of body B
- UB = Initial velocity of body B
- VA = Final velocity of body A
- VB= Final velocity of body B
Collisions in One Dimension
- The term collision is used to represent an event during which two particles come close to each other and interact by means of forces.
- The time interval during which the velocities of the particles change from initial to final values (time of interaction) is assumed to be short so that the interaction forces are assumed to be much greater than any external forces present.
- In the previous section we have discussed that the total momentum of an isolated system just before a collision equals the total momentum of the system just after the collision.
- In contrast, depending on the type of collision, the total kinetic energy of the system of particles may or may not be conserved.
- Collisions are classified as Elastic and Inelastic depending on whether or not kinetic energy of the system is conserved.
- A collision in which both total momentum and total kinetic energy are conserved is known as Elastic collision.
- Elastic collisions occur between atomic and subatomic particles.
- Collisions between two billiard balls are some of the practical collisions that are only approximately elastic.
- A collision in which total momentum is conserved but total kinetic energy is not conserved is known as inelastic collision.
- When the colliding objects stick together after interaction, the collision is said to be completely inelastic.
Elastic collision
- In the elastic collision total momentum, the total energy and the total kinetic energy are conserved.
- However, the total mechanical energy is not converted into any other energy form as the forces involved in the short interaction are conserved in nature.
- In an elastic collision both kinetic energy and momentum are conserved
- Consider from the above graph two masses, m1 and m2 moving with speed u1 and u2. The speed after the collision of these masses is v1 and v2 . The law of conservation of momentum will give:
- m1u1 + m2u2 = m1v1 + m2v2
- The conservation of Kinetic Energy says:
- 1/2 m1u21 + 1/2 m2u22 = 1/2 m1v21 +1/2 m2v22
- Elastic collisions can be achieved only with particles like microscopic particles like electrons, protons or neutrons.
- m1u1 + m2u2 = m1v1 + m2v2

Since the kinetic energy is conserved in the elastic collision we have:
1/2 m1u21 + 1/2 m2u22 = 1/2 m1v21 + 1/2 m2v22
This gives us : m1u21 + m2u22 = m1v21 + m2v22 (Factoring out 1/2)
Rearranging we get: m1u21– m1v21 = m2v22 – m2u22
Therefore, m1(u21– v21)= m2(v22 – u22)
Which if elaborated become m1(u1+v1 ) (u1– v1 )= m2 (v2 + u2)(v2 – u2)
Using the conservation of momentum equation: m1u1 + m2u2 = m1v1 + m2v2
We regroup it with same masses: m1u1-m1v1 = m2v2 -m2u2
Hence, m1(u1-v1) = m2(v2 -u2)
Now dividing the two equations:
m1(u1+v1) (u1– v1) = m2 (v2 + u2)(v2 – u2) / m1(u1-v1 ) = m2(v2 -u2 )
We get: u1+v1 = v2 + u2
Now, v1 = v2 + u2– u1
When we use this value of v1 in equation of conservation momentum we get :
v2 = [2 m1 u1 + u2 (m2-m1)] / (m1 + m2 )
Now using the value of v2 in equation v1 = v2 + u2– u1
v1 = [2 m1 u1 + u2 (m2-m1)] / (m1 + m2) + u2– u1
v1 = [2 m1 u1 + u2 (m2-m1) + u2 (m1 + m2 ) – u1(m1 + m2 )] / (m1 + m2 )
We finally get:
v1 = [2m2 u2 + u1 ( m1 – m2)] / (m1 +m2 )
When masses of both the bodies are equal then generally after collision, these masses exchange their velocities.
v1 = u2 and v2 = u1
This means that in course of collision between objects of same masses, if the second mass is at rest and the first mass collides with it then after collision the first mass comes to rest and the second mass moves with the speed equal to first mass. Therefore in such case, v1 = 0 and v2 = u1. In case if m1 < m2 then, v1 = -u1 and v2 = 0
This means that the lighter body will bombard back with its own velocity, while the heavier mass will remain static. However, if m1 > m2 then
v1 = u1 and v2 = 2u1
Example 7.6:

Example 7.7

Inelastic collision
- Inelastic collisions are of two types.
- When the colliding objects stick together after the collision, the collision is called perfectly inelastic.
- When the colliding objects do not stick together, but some kinetic energy is lost the collision is called inelastic
- In the inelastic collision, the objects stick to each other or move in the same direction.
- The total kinetic energy in this form of collision is not conserved but the total momentum and energy are conserved.
- During this kind of collision, the energy is transformed into other energy forms like heat and light.
- Since during the phenomenon the two masses follow the law of conservation of momentum and move in the same direction with same the same speed v we have:
- m1u1 + m2u2 = (m1+ m2)v
- v= (m1u1 + m2u2)/(m1+ m2)
- The kinetic energy of the masses before the collision is : K.E1 = 1/2 m1u21 + 1/2 m2u22
- While kinetic energy after the collision is: K.E2 = 1/2 (m1+ m2) v2
- But according to the law of conservation of energy: 1/2 m1u21 + 1/2 m2u22 = 1/2 (m1+ m2) v2 + Q
- ‘Q’ here is the change in energy that results in the production of heat or sound.
- In inelastic one dimensional collision, the colliding masses stick together and move in the same direction at same speeds.
- The momentum is conserved and Kinetic energy is changed to different forms of energies.
- For inelastic collisions the equation for conservation of momentum is :
- m1u1 + m2u2 = (m1 + m2) v
- Since both the objects stick, we take final velocity after the collision as v. Now v shall be:
- = m1u1 + m2u2/ m1 + m2
- The kinetic energy lost during the phenomenon shall be:
- E = 1/2 m1u22 – 1/2 (m1 + m2) v2


Simulation Collision
Example 7.8


Example 7.9


Example 7.10




Center of Mass
- The principle of conservation of momentum can be restated in a useful way by using the concept of center of mass.
- A mechanical system can be either a particle or a group of particles.
- Center of mass of an object or system of objects is a place where the total mass of the system assumed to be concentrated.
- We shall see that the center of mass of the system moves as if all the mass of the system were concentrated at that point.
- When a resultant force acts on a system of objects or particles, the force is assumed to have acted at the center of mass and the center of mass moves with an acceleration governed by Newton’s second law of motion.
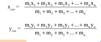
- Suppose we have several particles with masses m , m and so on. Let the coordinates of m be (x , y ), be those of m be (x , y ) and so on. We define the center of mass of the system as the point that has coordinates ( xcm, ycm) given by

Example 7.11

